As you have probably noticed by now, simplifying rational expressions involves a lot of factoring. If you're feeling at all rusty on this topic, review now: simple factoring, factoring quadratics, and special factoring formulas.
Also, once you're done factoring and simplifying, there is a way to use a graphing calculator to confirm whether your simplification is correct.
Content Continues Below
Take the original expression, set it equal to y, and graph it. Then do the same with the simplified form. If the graphs match (other than any division-by-zero vertical asymptotes that simplification may have erased), then your answer is probably correct.
Faced with a polynomial fraction like this, many students will try to do something like the following:
Is this legitimate? Can the student really do this? (Think "bleeding, oozing...") You can NOT cancel term-by-term! You can ONLY cancel factors!
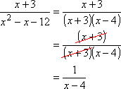
So the first thing I have to do — if I'm to have any chance of doing this simplification correctly — is factor the numerator and the denominator:
Since the numerator and denominator share a common factor, I can reduce the expression as:
Can I reduce any further? For instance, can I cancel off the x's? (whimpering, bleeding...) Can I cancel a 2 out of the 4 and the 6? (oozing, flopping...) No! This is as simplified as it's going to get, because there are no remaining common factors. Then the answer is:
Depending on your text or your instructor, you might not need that "for x not equal to part". However, since I cancelled off a 2x + 5 factor, this removed a division-by-zero problem from the original rational expression: namely, 2x + 5 = 0 for
Content Continues Below
The factors in the numerator and denominator are almost the same, but not quite, so they can't be cancelled — yet. If the fraction had been:
...(that is, if the signs between the terms had been plusses instead of minuses), I could have rearranged the terms as:
...and cancelled to get 1, since order doesn't matter in addition. But order most definitely does matter in subtraction, so I can't just flip the subtraction to get matching factors. However, take a look at this:
Affiliate
Advertisement
5 – 3 = 2
3 – 5 = –2
Do you see what happened? When I reversed the subtraction in the second line, I got the same number but the opposite sign. Then I can flip a subtraction, as long as I remember to change the sign; I'll flip the subtraction and kick out a "minus" sign.
So it turns out that I can reverse one of the subtractions in the original rational expression above, as long as I remember to switch the sign out front:
Now I can cancel:
Where did the 1s come from? Remember: If "nothing" is left, then a 1 is left. So, putting it all together:
(Depending on the text you're using, you may or may not need the "as long as x does not equal 2" part.)
You should keep this "flip a subtraction and kick a 'minus' sign out front" trick in mind. Depending on the text you're using, you may see a lot of this. And even if it doesn't come up much in the homework set, you should expect one of these on the next test.
Affiliate
I can't cancel the x's; I can't cancel the 3 into the 12. I cannot reach inside (the parentheses that are understood to be around) the numerator and denominator, rip some pieces out, and try to cancel. (...big brown eyes...)
No; to simplify this, I first need to factor. Only once I have factors can I see if I there are any common factors that can be cancelled off.
Then my answer, accounting for the division-by-zero issue that I removed, is:
(You might not need the "for all x not equal to –3" part.)
To simplify this, I need to factor. Also, I can see that I will need to flip the subtraction in the denominator; I'll need to remember to change the sign when I do that flip.
Then my hand-in answer is:
(You might not need the "for all x not equal to 6" part.)
URL: https://www.purplemath.com/modules/rtnldefs3.htm
© 2024 Purplemath, Inc. All right reserved. Web Design by ![]()