Partial fraction decomposition is the process of taking a rational expression (that is, a polynomial fraction) and splitting it up (that is, decomposing it) into simpler fractions (being the partial fractions) that, when added, result in the original expression.
Content Continues Below
Partial fraction decomposition does not have one formula that will work for every polynomial fraction, the way that the Quadratic Formula works for every quadratic. There are some formulas out there, but they are for only a few very specific fractions. I wouldn't bother trying to memorize them.
Affiliate
Advertisement
If you're in an algebra class right now, you probably don't actually "need" partial fraction decomposition right now. But if you're continuing on to calculus, you will discover how very helpful this process can be.
(To be fair, you may entirely forget this topic by the time you start doing integral calculus, which is where you'd need it. Your calc instructor will, or at least should, cover the topic again at that time.)
To decompose a rational expression (that is, a polynomial fraction), follow these steps:
Let's see how this works.
Content Continues Below
Previously, when you'd started working with rational expressions, you learned how to add (and subtract) rational expressions together, simplifying the result, if possible. A typical example would be:
Partial-fraction decomposition is the process of starting with the simplified answer and taking it back apart (that is, of decomposing the final expression) into its initial polynomial fractions.
Affiliate
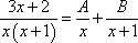
To decompose a fraction, you first factor the denominator. Let's work backwards from the example above.
The denominator is x2 + x, which factors as x(x + 1).
Then you write the fractions with one of the factors for each of the denominators. Of course, you don't know what the numerators are yet, so you assign variables (usually capital letters, for some reason) for these unknown values. It looks like this:
Then you set this sum equal to the simplified result:
Now that you have an equation, you can multiply through on both sides to get rid of the denominators. You do this by multiplying through by the common denominator of x(x + 1):
Now you multiply things out on the right-hand side, and group the x-terms and the constant terms:
3x + 2 = Ax + A1 + Bx
3x + 2 = (A + B)x + (A)1
(3)x + (2)1 = (A + B)x + (A)1
The unusual parentheses on the left-hand side are there to make clear which parts are the coefficients.
For the two sides to be equal, the coefficients of the two polynomials must be equal. So you "equate the coefficients" to get, for the coefficients of x:
3 = A + B
Equating the constant terms (viewed here as being coefficients, in some sense, of the number 1), you get:
2 = A
This creates a system of equations that you can solve. In this case, the solution is simplicity. Since we can see that A = 2, then we must have:
(2) + B = 3
B = 1
Then the original fractions were (as we already knew) the following:
Once you've gotten to where you have the equation of the numerators — where, above, we then equated coefficients — there is another method for finding the values of the coefficient variables A, B, etc.
Since the coefficient equation 3x + 2 = A(x + 1) + B(x) is supposed to be true for any value of x, we can then try to pick *useful* values of x, do the plug-n-chug, and find the values for A and B.
Looking at the equation 3x + 2 = A(x + 1) + B(x), take note of the factor of x. If x = 0, then any term with that factor will drop out. So let's try zeroing those out:
3x + 2 = A(x + 1) + B(x)
3(0) + 2 = A(0 + 1) + B(0)
0 + 2 = A(1) + 0
2 = A
The other factor we can use is the x + 1. This will zero out if x = −1, then we easily get the other coefficient value:
3(−1) + 2 = A(0) + B(−1)
−1 = −B
B = 1
Back in college, I was taught the equating-coefficients method. It wasn't until years later that I came across this zeroing-out method. I've never seen this zeroing-out method in textbooks but, in my experience, zeroing out can often save you loads of time in doing the decomposition.
If the denominator of your fraction factors into unique linear factors, then the decomposition process is fairly straightforward, as shown above. But what if the factors aren't unique or aren't linear?
URL: https://www.purplemath.com/modules/partfrac.htm
You can use the Mathway widget below to practice doing partial fraction decomposition. Try the entered exercise, or type in your own exercise. Then click the button and select "Split Using Partial Fraction Decomposition" to compare your answer to Mathway's.
Please accept "preferences" cookies in order to enable this widget.
(Click "Tap to view steps" to be taken directly to the Mathway site for a paid upgrade.)
© 2024 Purplemath, Inc. All right reserved. Web Design by ![]()